ANÁLISIS DE NODOS ☀ Circuitos Eléctricos con Fuente Dependiente de

Las fuentes dependientes no sirven como entradas a un circuito como fuentes independientes. Se utilizan para modelar circuitos activos: los que contienen elementos electrónicos. Los circuitos RLC que hemos estado considerando hasta ahora se conocen como circuitos pasivos. Figura 3.18.1 De las cuatro posibles fuentes dependientes, se representa.
METODO DE MALLAS con FUENTES DEPENDIENTE ⮞1 Ejercicio RESUELTO FÁCIL en

Circuitos resistivos con fuentes dependientes Objetivo: El alumnado comprenderá las características inherentes a las fuentes dependientes y resolverá problemas de circuitos resistivos que contengan tanto fuentes independientes como dependientes. Problema 1 Para el circuito de la figura 1, determine el valor de la resistencia R si se sabe que.
Circuitos electricos con fuentes dependientes [ejercicios resueltos]

Solución ejercicio #1. Conclusión: el voltaje que hay en ese nodo del circuito es de 13.61v. Gracias al teorema de superposición, podemos resolver este tipo de circuitos sin tener que recurrir a métodos más complejos, siendo más rápidos en nuestros cálculos y evitando errores.
CIRCUITOS ELÉCTRICOS con FUENTES DEPENDIENTES 1 EJERCICIO resuelto ️

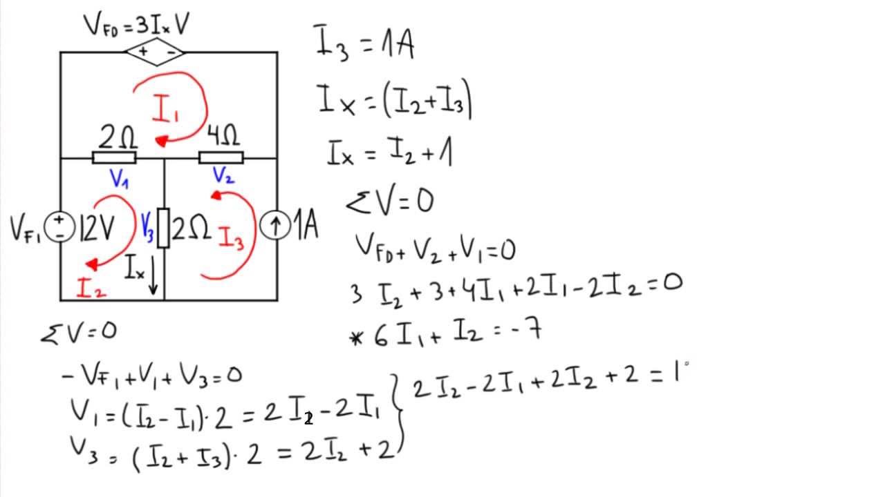
Ejercicio resuelto 1: Fuentes dependientes. En el primero de estos videos se muestra como realizar el análisis de un circuito eléctrico que tiene fuentes dependientes, una de estas es una fuente de voltaje controlada por corriente y la otra es una fuente de corriente controlada por voltaje. Además en el circuito se analiza la presencia de un.
Función de transferencia de circuito eléctrico de dos mallas RLC (Video

En este vídeo se muestra como analizar un circuito eléctrico que tiene fuentes dependientes o controladas y que posee un supernodo.*Parte 1: Análisis del cir.
15 Circuitos con Fuentes Dependientes Ejemplo 2 YouTube

Figura 6.4.1 6.4. 1: Símbolos fuente dependientes utilizados en simuladores comunes (de izquierda a derecha): VCVS, CCVS, VCCS y CCCS. La porción de control se puede considerar como una conexión para un voltímetro o amperímetro que detecta el parámetro de control.
Circuitos con fuentes dependientes Las fuentes dependientes se
Entendamos cómo funciona el teorema de superposición con un ejemplo. actual (yol) pasa a través de las resistencias de 8 Ω en la red especificada utilizando el teorema de superposición. Resolución: Paso 1 Dada una fuente de voltaje y una fuente de corriente como se muestra en la red de arriba. Por lo tanto, debe repetir este paso dos veces.
Tema II. Circuitos resistivos con fuentes dependientes e

En este vídeo resuelvo un ejercicio de Circuito RC con una fuente dependiente. // Problema de CIRCUITOS ELÉCTRICOS I. 🔔 Suscríbete para enterarte de nue.
Simulación de Circuitos eléctricos con PSIM 2 (Fuente dependiente de

7.6: Ejercicios This page titled 7: Análisis Nodal y de Malla, Fuentes Dependientes is shared under a CC BY-NC-SA 4.0 license and was authored, remixed, and/or curated by James M. Fiore via source content that was edited to the style and standards of the LibreTexts platform; a detailed edit history is available upon request.
SUPERNODOS. CIRCUITOS ELECTRONICOS. EJERCICIO 1. YouTube

Aprende de manera muy fácil como resolver ejercicios de circuitos eléctricos mixtos, vamos a desarrollar ejercicios desde lo más básico hasta lo más complejo.
Cómo resolver un circuito con fuentes dependientes e independientes de

Ejemplo 2 de circuitos con fuente dependiente, en este caso solo un solo lazo y un a sola fuente de voltaje dependiente de voltaje.
14 Teoría de Circuitos. Circuitos de segundo orden con fuente

No se consideran las fuentes dependientes ya que su comportamiento depende de las variables del circuito. 3. Desactivación de fuentes: Para aplicar el teorema de superposición, se deben desactivar todas las fuentes excepto una en cada paso. Esto significa que se anula la fuente de corriente o se reemplaza la fuente de voltaje por un.
Fuente dependiente de tension e intensidad YouTube

magnéticamente. M12. i1(t) sale por un punto i1eq(t) sale por el otro punto. La tensión u2(t) y la corriente i1eq(t) van en el mismo sentido (de 2' a 2') Solución del ejemplo 1: Escribir las ecuaciones de las bobinas acopladas para las referencias de tensión e intensidad y los terminales.
SUPERNODOS. ANÁLISIS DE SUPERNODOS CON FUENTES DEPENDIENTES DE VOLTAJE

Uno de estos métodos es la superposición. La superposición permite el análisis de circuitos multifuente serie-paralelo. La superposición solo se puede aplicar a redes que sean lineales y bilaterales. Además, no se puede utilizar para encontrar valores para funciones no lineales, como la potencia, directamente. Afortunadamente, si el.
Ejercicio resuelto. Análisis de malla y análisis nodal. YouTube

Aprende de manera muy fácil como resolver ejercicios de circuitos eléctricos mixtos, vamos a desarrollar ejercicios desde lo más básico hasta lo más complejo.
Teorema de SUPERPOSICIÓN con fuentes DEPENDIENTES ⚡ YouTube

¿Cómo aplicar el Método de MALLAS? En este video vamos a resolver 1 EJERCICIO de circuitos eléctricos con FUENTES DEPENDIENTE y aplicaremos el MÉTODO DE MALL.
.